Skip to content

什么是树?

真实的树:

相信每个人对现实生活中的树都会非常熟悉

我们来看一下树有什么特点

树通常有一个根。连接着根的是树干。

树干到上面之后会进行分叉成树枝,树枝还会分叉成更小的树枝。

在树枝的最后是叶子。

树的抽象:

专家们对树的结构进行了抽象,发现树可以模拟生活中的很多场景。

模拟树结构

公司组织架构:

前端非常熟悉的 DOM Tree

树结构的抽象

我们再将里面的数据移除,仅仅抽象出来结构,那么就是我们要学习的树结构

树的优点

我们之前已经学习了多种数据结构来保存数据,为什么要使用树结构来保存数据呢?

树结构和数组/链表/哈希表的对比有什么优点呢?

数组:

优点:

数组的主要优点是根据下标值访问效率会很高。

但是如果我们希望根据元素来查找对应的位置呢?

比较好的方式是先对数组进行排序,再进行二分查找。

缺点:

需要先对数组进行排序,生成有序数组,才能提高查找效率。

另外数组在插入和删除数据时,需要有大量的位移操作(插入到首位或者中间位置的时候),效率很低。

链表:

优点:

链表的插入和删除操作效率都很高。

缺点:

查找效率很低,需要从头开始依次访问链表中的每个数据项,直到找到。

而且即使插入和删除操作效率很高,但是如果要插入和删除中间位置的数据,还是需要重头先找到对应的数据。

哈希表:

优点:

我们学过哈希表后,已经发现了哈希表的插入/查询/删除效率都是非常高的。

但是哈希表也有很多缺点。

缺点:

空间利用率不高,底层使用的是数组,并且某些单元是没有被利用的。

哈希表中的元素是无序的,不能按照固定的顺序来遍历哈希表中的元素。

不能快速的找出哈希表中的最大值或者最小值这些特殊的值。

树结构:

我们不能说树结构比其他结构都要好,因为每种数据结构都有自己特定的应用场景。

但是树确实也综合了上面的数据结构的优点(当然优点不足于盖过其他数据结构,比如效率一般情况下没有哈希表高)。

并且也弥补了上面数据结构的缺点。

而且为了模拟某些场景,我们使用树结构会更加方便。

因为数结构的非线性的,可以表示一对多的关系

比如文件的目录结构。

树的术语

在描述树的各个部分的时候有很多术语。

为了让介绍的内容更容易理解,需要知道一些树的术语。

不过大部分术语都与真实世界的树相关,或者和家庭关系相关(如父节点和子节点),所以它们比较容易理解。

树(Tree):n(n≥0)个节点构成的有限集合。

当 n=0 时,称为空树;

对于任一棵非空树(n> 0),它具备以下性质:

树中有一个称为“根(Root)”的特殊节点,用 r 表示;

其余节点可分为 m(m>0)个互不相交的有限集 T1,T2,..。,Tm,其中每个集合本身又是一棵树,称为原来树的“子树(SubTree)”

image-20240825031032795

树的术语:

1.节点的度(Degree):节点的子树个数。

2.树的度 (Degree) :树的所有节点中最大的度数。

3.叶节点(Leaf):度为 0 的节点。(也称为叶子节点)

4.父节点(Parent):有子树的节点是其子树的根节点的父节点

5.子节点(Child):若 A 节点是 B 节点的父节点,则称 B 节点是 A 节点的子节点;子节点也称孩子节点。

6.兄弟节点(Sibling):具有同一父节点的各节点彼此是兄弟节点。

7.路径和路径长度:从节点 n1 到 nk 的路径为一个节点序列 n1 ,n2,… ,nk

  • ni 是 n(i+1)的父节点

  • 路径所包含 边 的个数为路径的长度。

    8.节点的层次(Level):规定根节点在 1 层,其它任一节点的层数是其父节点的层数加 1。

    9.树的深度(Depth):对于任意节点 n, n 的深度为从根到 n 的唯一路径长,根的深度为 0。

    10.树的高度(Height):对于任意节点 n,n 的高度为从 n 到一片树叶的最长路径长,所有树叶的高度为 0。

比如根节点的最长路径是经过 4 个节点,那么它的高度就是边的数量,也就是节点数-1,得到 3.

image-20240825031201700

普通的表示方式

最普通的表示方式

image-20240825031230584

儿子-兄弟表示法

儿子-兄弟表示法旋转

儿子-兄弟表示法旋转

你发现上面规律了吗?

其实所有的树本质上都可以使用二叉树模拟出来。

所以在学习树的过程中,二叉树非常重要。

二叉树的概念

如果树中每个节点最多只能有两个子节点,这样的树就成为"二叉树"。

前面,我们已经提过二叉树的重要性,不仅仅是因为简单,也因为几乎上所有的树都可以表示成二叉树的形式。

二叉树的定义

二叉树可以为空,也就是没有节点。

若不为空,则它是由根节点 和 称为其 左子树 TL 和 右子树 TR 的两个不相交的二叉树组成。

二叉树有五种形态:

二叉树的特性

二叉树有几个比较重要的特性,在笔试题中比较常见:

一颗二叉树第 i 层的最大节点数为:2^(i-1),i >= 1;

深度为 k 的二叉树有最大节点总数为: 2^k - 1,k >= 1;

对任何非空二叉树 T,若 n0 表示叶节点的个数、n2 是度为 2 的非叶节点个数,那么两者满足关系 n0 = n2 + 1。

完美二叉树

完美二叉树(Perfect Binary Tree) ,也称为满二叉树(Full Binary Tree)

在二叉树中,除了最下一层的叶节点外,每层节点都有 2 个子节点,就构成了满二叉树。

完全二叉树

完全二叉树(Complete Binary Tree)

除二叉树最后一层外,其他各层的节点数都达到最大个数。

且最后一层从左向右的叶节点连续存在,只缺右侧若干节点。

完美二叉树是特殊的完全二叉树。

下面不是完全二叉树,因为 D 节点还没有右节点,但是 E 节点就有了左右节点。

image-20240825110409366

二叉树的存储

二叉树的存储常见的方式是数组和链表。

使用数组

完全二叉树:按从上至下、从左到右顺序存储

image-20240825110512609

非完全二叉树:

非完全二叉树要转成完全二叉树才可以按照上面的方案存储。

但是会造成很大的空间浪费

image-20240825110528705

链表存储

二叉树最常见的方式还是使用链表存储。

每个节点封装成一个 Node,Node 中包含存储的数据,左节点的引用,右节点的引用。

什么是二叉搜索树?

二叉搜索树(BST,Binary Search Tree),也称二叉排序树二叉查找树

二叉搜索树是一颗二叉树,可以为空;

如果不为空,满足以下性质:

非空左子树的所有键值小于其根节点的键值。

非空右子树的所有键值大于其根节点的键值。

左、右子树本身也都是二叉搜索树。

下面哪些是二叉搜索树,哪些不是?

二叉搜索树的特点:

二叉搜索树的特点就是相对较小的值总是保存在左节点上,相对较大的值总是保存在右节点上。

那么利用这个特点,我们可以做什么事情呢?

查找效率非常高,这也是二叉搜索树中,搜索的来源。

image-20240825111624170

二叉搜索树

下面是一个二叉搜索树

这样的数据结构有什么好处呢?

我们试着查找一下值为 10 的节点

这种方式就是二分查找的思想

查找所需的最大次数等于二叉搜索树的深度;

插入节点时,也利用类似的方法,一层层比较大小,找到新节点合适的位置。

image-20240825111717199

image-20240825111732844

image-20240825111751239

image-20240825111818746

image-20240825111831479

二叉搜索树的封装

我们像封装其他数据结构一样,先来封装一个 BSTree 的类

typescript
import Node from "../types/Node";

import { btPrint } from "hy-algokit";

class TreeNode<T> extends Node<T> {
  left: TreeNode<T> | null = null;
  right: TreeNode<T> | null = null;
}

class BSTree<T> {
  private root: TreeNode<T> | null = null;
}

export {};

types/Node.ts

typescript
class Node<T> {
  value: T;
  constructor(value: T) {
    this.value = value;
  }
}

export default Node;

代码解析:

封装 BSTree 的类;

还需要封装一个用于保存每一个节点的类 Node。

该类包含三个属性:节点对应的 value,指向的左子树 left,指向的右子树 right

对于 BSTree 来说,只需要保存根节点即可,因为其他节点都可以通过根节点找到。

二叉搜索树常见操作

二叉搜索树有哪些常见的操作呢?

插入操作:

insert(value):向树中插入一个新的数据。

查找操作:

search(value):在树中查找一个数据,如果节点存在,则返回 true;如果不存在,则返回 false。

min:返回树中最小的值/数据。

max:返回树中最大的值/数据。

遍历操作:

inOrderTraverse:通过中序遍历方式遍历所有节点。

preOrderTraverse:通过先序遍历方式遍历所有节点。

postOrderTraverse:通过后序遍历方式遍历所有节点。

levelOrderTraverse:通过层序遍历方式遍历所有节点。

删除操作(有一点点复杂):

remove(value):从树中移除某个数据。

向树中插入数据

我们分两个部分来完成这个功能。

首先,外界调用的 insert 方法:

代码解析:

首先,根据传入的 value,创建对应的 Node。

其次,向树中插入数据需要分成两种情况:

第一次插入,直接修改根节点即可。

其他次插入,需要进行相关的比较决定插入的位置。

在代码中的 insertNode 方法,我们还没有实现,也是我们接下来要完成的任务。

其次,插入非根节点

插入其他节点时,我们需要判断该值到底是插入到左边还是插入到右边。

判断的依据来自于新节点的 value 和原来节点的 value 值的比较。

  • 如果新节点的 newvalue 小于原节点的 oldvalue,那么就向左边插入。

  • 如果新节点的 newvalue 大于原节点的 oldvalue,那么就向右边插入。

代码的 1 序号位置,就是准备向左子树插入数据。但是它本身又分成两种情况

  • 情况一(代码 1.1 位置):左子树上原来没有内容,那么直接插入即可。

  • 情况二(代码 1.2 位置):左子树上已经有了内容,那么就一次向下继续查找

新的走向,所以使用递归调用即可。

代码的 2 序号位置,和 1 序号位置几乎逻辑是相同的,只是是向右去查找。

  • 情况一(代码 2.1 位置):左右树上原来没有内容,那么直接插入即可。

  • 情况二(代码 2.2 位置):右子树上已经有了内容,那么就一次向下继续查找新的走向,所以使用递归调用即可。

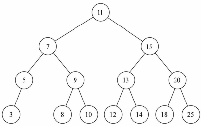
测试插入代码

image-20240825165627211

image-20240825165639290

typescript
import Node from "../types/Node";

import { btPrint } from "hy-algokit";

class TreeNode<T> extends Node<T> {
  left: TreeNode<T> | null = null;
  right: TreeNode<T> | null = null;
}

class BSTree<T> {
  private root: TreeNode<T> | null = null;

  print() {
    btPrint(this.root);
  }

  /** 插入数据的操作 */
  insert(value: T) {
    // 1.根据传入value创建Node(TreeNode)节点
    const newNode = new TreeNode(value);

    // 2.判断当前是否已经有了根节点
    if (!this.root) {
      // 当前树为空
      this.root = newNode;
    } else {
      // 树中已经有其他值
      this.insertNode(this.root, newNode);
    }
  }

  private insertNode(node: TreeNode<T>, newNode: TreeNode<T>) {
    if (newNode.value < node.value) {
      // 去左边继续查找空白位置
      if (node.left === null) {
        // node节点的左边已经是空白
        node.left = newNode;
      } else {
        this.insertNode(node.left, newNode);
      }
    } else {
      // 去右边继续查找空白位置
      if (node.right === null) {
        node.right = newNode;
      } else {
        this.insertNode(node.right, newNode);
      }
    }
  }
}

const bst = new BSTree<number>();
bst.insert(11);
bst.insert(7);
bst.insert(15);
bst.insert(5);
bst.insert(3);
bst.insert(9);
bst.insert(8);
bst.insert(10);
bst.insert(13);
bst.insert(12);
bst.insert(14);
bst.insert(20);
bst.insert(18);
bst.insert(25);
bst.insert(6);

bst.print();

export {};

image-20240825165729472

遍历二叉搜索树

前面,我们向树中插入了很多的数据,为了能很多的看到测试结果。我们先来学习一下树的遍历。

注意:这里我们学习的树的遍历,针对所有的二叉树都是适用的,不仅仅是二叉搜索树。

树的遍历:

遍历一棵树是指访问树的每个节点(也可以对每个节点进行某些操作,我们这里就是简单的打印)

但是树和线性结构不太一样,线性结构我们通常按照从前到后的顺序遍历,但是树呢?

应该从树的顶端还是底端开始呢? 从左开始还是从右开始呢?

二叉树的遍历常见的有四种方式

先序遍历

中序遍历

后序遍历

层序遍历

先序遍历

遍历过程为:

① 访问根节点;

② 先序遍历其左子树;

③ 先序遍历其右子树。

先序遍历的访问过程

中序遍历

遍历过程为:

① 中序遍历其左子树;

② 访问根节点;

③ 中序遍历其右子树。

中序遍历的访问

后序遍历

遍历过程为:

① 后序遍历其左子树;

② 后序遍历其右子树;

③ 访问根节点。

同理

层序遍历

遍历过程为:

层序遍历很好理解,就是从上向下逐层遍历。

层序遍历通常我们会借助于队列来完成;

  • 也是队列的一个经典应用场景;

层序遍历的访问

层序遍历的伪代码逻辑

typescript
import Node from "../types/Node";

import { btPrint } from "hy-algokit";

class TreeNode<T> extends Node<T> {
  left: TreeNode<T> | null = null;
  right: TreeNode<T> | null = null;
}

class BSTree<T> {
  private root: TreeNode<T> | null = null;

  print() {
    btPrint(this.root);
  }

  /** 插入数据的操作 */
  insert(value: T) {
    // 1.根据传入value创建Node(TreeNode)节点
    const newNode = new TreeNode(value);

    // 2.判断当前是否已经有了根节点
    if (!this.root) {
      // 当前树为空
      this.root = newNode;
    } else {
      // 树中已经有其他值
      this.insertNode(this.root, newNode);
    }
  }

  private insertNode(node: TreeNode<T>, newNode: TreeNode<T>) {
    if (newNode.value < node.value) {
      // 去左边继续查找空白位置
      if (node.left === null) {
        // node节点的左边已经是空白
        node.left = newNode;
      } else {
        this.insertNode(node.left, newNode);
      }
    } else {
      // 去右边继续查找空白位置
      if (node.right === null) {
        node.right = newNode;
      } else {
        this.insertNode(node.right, newNode);
      }
    }
  }

  /** 遍历的操作 */
  // 先序遍历
  preOrderTraverse() {
    this.preOrderTraverseNode(this.root);
  }
  private preOrderTraverseNode(node: TreeNode<T> | null) {
    if (node) {
      console.log(node.value);
      this.preOrderTraverseNode(node.left);
      this.preOrderTraverseNode(node.right);
    }
  }

  // 中序遍历
  inOrderTraverse() {
    this.inOrderTraverseNode(this.root);
  }
  private inOrderTraverseNode(node: TreeNode<T> | null) {
    if (node) {
      this.inOrderTraverseNode(node.left);
      console.log(node.value);
      this.inOrderTraverseNode(node.right);
    }
  }

  // 后序遍历
  postOrderTraverse() {
    this.postOrderTraverseNode(this.root);
  }
  private postOrderTraverseNode(node: TreeNode<T> | null) {
    if (node) {
      this.postOrderTraverseNode(node.left);
      this.postOrderTraverseNode(node.right);
      console.log(node.value);
    }
  }

  // 层序遍历
  levelOrderTraverse() {
    // 1.如果没有根节点, 那么不需要遍历
    if (!this.root) return;

    // 2.创建队列结构
    const queue: TreeNode<T>[] = [];
    // 第一个节点时根节点
    queue.push(this.root);

    // 3.遍历队列中所有的节点(依次出队)
    while (queue.length) {
      // 3.1.访问节点的过程
      const current = queue.shift()!;
      console.log(current.value);

      // 3.2.将左子节点放入到队列
      if (current.left) {
        queue.push(current.left);
      }

      // 3.3.将右子节点放入到队列
      if (current.right) {
        queue.push(current.right);
      }
    }
  }
}

const bst = new BSTree<number>();
bst.insert(11);
bst.insert(7);
bst.insert(15);
bst.insert(5);
bst.insert(3);
bst.insert(9);
bst.insert(8);
bst.insert(10);
bst.insert(13);
bst.insert(12);
bst.insert(14);
bst.insert(20);
bst.insert(18);
bst.insert(25);
bst.insert(6);

bst.print();

// bst.preOrderTraverse()
// bst.inOrderTraverse()
// bst.postOrderTraverse()
bst.levelOrderTraverse();

export {};

最大值 & 最小值

在二叉搜索树中搜索最值是一件非常简单的事情,其实用眼睛看就可以看出来了。

typescript
import Node from "../types/Node";

import { btPrint } from "hy-algokit";

class TreeNode<T> extends Node<T> {
  left: TreeNode<T> | null = null;
  right: TreeNode<T> | null = null;
}

class BSTree<T> {
  private root: TreeNode<T> | null = null;

  print() {
    btPrint(this.root);
  }

  /** 插入数据的操作 */
  insert(value: T) {
    // 1.根据传入value创建Node(TreeNode)节点
    const newNode = new TreeNode(value);

    // 2.判断当前是否已经有了根节点
    if (!this.root) {
      // 当前树为空
      this.root = newNode;
    } else {
      // 树中已经有其他值
      this.insertNode(this.root, newNode);
    }
  }

  private insertNode(node: TreeNode<T>, newNode: TreeNode<T>) {
    if (newNode.value < node.value) {
      // 去左边继续查找空白位置
      if (node.left === null) {
        // node节点的左边已经是空白
        node.left = newNode;
      } else {
        this.insertNode(node.left, newNode);
      }
    } else {
      // 去右边继续查找空白位置
      if (node.right === null) {
        node.right = newNode;
      } else {
        this.insertNode(node.right, newNode);
      }
    }
  }

  /** 遍历的操作 */
  // 先序遍历
  preOrderTraverse() {
    this.preOrderTraverseNode(this.root);
  }
  private preOrderTraverseNode(node: TreeNode<T> | null) {
    if (node) {
      console.log(node.value);
      this.preOrderTraverseNode(node.left);
      this.preOrderTraverseNode(node.right);
    }
  }

  // 中序遍历
  inOrderTraverse() {
    this.inOrderTraverseNode(this.root);
  }
  private inOrderTraverseNode(node: TreeNode<T> | null) {
    if (node) {
      this.inOrderTraverseNode(node.left);
      console.log(node.value);
      this.inOrderTraverseNode(node.right);
    }
  }

  // 后序遍历
  postOrderTraverse() {
    this.postOrderTraverseNode(this.root);
  }
  private postOrderTraverseNode(node: TreeNode<T> | null) {
    if (node) {
      this.postOrderTraverseNode(node.left);
      this.postOrderTraverseNode(node.right);
      console.log(node.value);
    }
  }

  // 层序遍历
  levelOrderTraverse() {
    // 1.如果没有根节点, 那么不需要遍历
    if (!this.root) return;

    // 2.创建队列结构
    const queue: TreeNode<T>[] = [];
    // 第一个节点时根节点
    queue.push(this.root);

    // 3.遍历队列中所有的节点(依次出队)
    while (queue.length) {
      // 3.1.访问节点的过程
      const current = queue.shift()!;
      console.log(current.value);

      // 3.2.将左子节点放入到队列
      if (current.left) {
        queue.push(current.left);
      }

      // 3.3.将右子节点放入到队列
      if (current.right) {
        queue.push(current.right);
      }
    }
  }

  /** 获取最值操作: 最大值/最小值 */
  getMaxValue(): T | null {
    let current = this.root;
    while (current && current.right) {
      current = current.right;
    }

    return current?.value ?? null;
  }

  getMinValue(): T | null {
    let current = this.root;
    while (current && current.left) {
      current = current.left;
    }

    return current?.value ?? null;
  }
}

const bst = new BSTree<number>();
bst.insert(11);
bst.insert(7);
bst.insert(15);
bst.insert(5);
bst.insert(3);
bst.insert(9);
bst.insert(8);
bst.insert(10);
bst.insert(13);
bst.insert(12);
bst.insert(14);
bst.insert(20);
bst.insert(18);
bst.insert(25);
bst.insert(6);

bst.print();

// bst.preOrderTraverse()
// bst.inOrderTraverse()
// bst.postOrderTraverse()
// bst.levelOrderTraverse()

console.log(bst.getMaxValue());
console.log(bst.getMinValue());

export {};

search 搜索特定的值

二叉搜索树不仅仅获取最值效率非常高,搜索特定的值效率也非常高。

注意:这里的实现返回 boolean 类型即可。

搜索操作的非递归

typescript
import Node from "../types/Node";

import { btPrint } from "hy-algokit";

class TreeNode<T> extends Node<T> {
  left: TreeNode<T> | null = null;
  right: TreeNode<T> | null = null;
}

class BSTree<T> {
  private root: TreeNode<T> | null = null;

  print() {
    btPrint(this.root);
  }

  /** 插入数据的操作 */
  insert(value: T) {
    // 1.根据传入value创建Node(TreeNode)节点
    const newNode = new TreeNode(value);

    // 2.判断当前是否已经有了根节点
    if (!this.root) {
      // 当前树为空
      this.root = newNode;
    } else {
      // 树中已经有其他值
      this.insertNode(this.root, newNode);
    }
  }

  private insertNode(node: TreeNode<T>, newNode: TreeNode<T>) {
    if (newNode.value < node.value) {
      // 去左边继续查找空白位置
      if (node.left === null) {
        // node节点的左边已经是空白
        node.left = newNode;
      } else {
        this.insertNode(node.left, newNode);
      }
    } else {
      // 去右边继续查找空白位置
      if (node.right === null) {
        node.right = newNode;
      } else {
        this.insertNode(node.right, newNode);
      }
    }
  }

  /** 遍历的操作 */
  // 先序遍历
  preOrderTraverse() {
    this.preOrderTraverseNode(this.root);
  }
  private preOrderTraverseNode(node: TreeNode<T> | null) {
    if (node) {
      console.log(node.value);
      this.preOrderTraverseNode(node.left);
      this.preOrderTraverseNode(node.right);
    }
  }

  // 中序遍历
  inOrderTraverse() {
    this.inOrderTraverseNode(this.root);
  }
  private inOrderTraverseNode(node: TreeNode<T> | null) {
    if (node) {
      this.inOrderTraverseNode(node.left);
      console.log(node.value);
      this.inOrderTraverseNode(node.right);
    }
  }

  // 后序遍历
  postOrderTraverse() {
    this.postOrderTraverseNode(this.root);
  }
  private postOrderTraverseNode(node: TreeNode<T> | null) {
    if (node) {
      this.postOrderTraverseNode(node.left);
      this.postOrderTraverseNode(node.right);
      console.log(node.value);
    }
  }

  // 层序遍历
  levelOrderTraverse() {
    // 1.如果没有根节点, 那么不需要遍历
    if (!this.root) return;

    // 2.创建队列结构
    const queue: TreeNode<T>[] = [];
    // 第一个节点时根节点
    queue.push(this.root);

    // 3.遍历队列中所有的节点(依次出队)
    while (queue.length) {
      // 3.1.访问节点的过程
      const current = queue.shift()!;
      console.log(current.value);

      // 3.2.将左子节点放入到队列
      if (current.left) {
        queue.push(current.left);
      }

      // 3.3.将右子节点放入到队列
      if (current.right) {
        queue.push(current.right);
      }
    }
  }

  /** 获取最值操作: 最大值/最小值 */
  getMaxValue(): T | null {
    let current = this.root;
    while (current && current.right) {
      current = current.right;
    }

    return current?.value ?? null;
  }

  getMinValue(): T | null {
    let current = this.root;
    while (current && current.left) {
      current = current.left;
    }

    return current?.value ?? null;
  }

  /** 搜索特定的值: 20 => boolean */
  search(value: T): boolean {
    let current = this.root;
    while (current) {
      // 找到了节点
      if (current.value === value) return true;

      if (current.value < value) {
        current = current.right;
      } else {
        current = current.left;
      }
    }

    return false;
  }
}

const bst = new BSTree<number>();
bst.insert(11);
bst.insert(7);
bst.insert(15);
bst.insert(5);
bst.insert(3);
bst.insert(9);
bst.insert(8);
bst.insert(10);
bst.insert(13);
bst.insert(12);
bst.insert(14);
bst.insert(20);
bst.insert(18);
bst.insert(25);
bst.insert(6);

bst.print();

// bst.preOrderTraverse()
// bst.inOrderTraverse()
// bst.postOrderTraverse()
// bst.levelOrderTraverse()

// console.log(bst.getMaxValue())
// console.log(bst.getMinValue())

console.log(bst.search(20));
console.log(bst.search(18));
console.log(bst.search(6));
console.log(bst.search(30));

export {};

二叉搜索树的删除

二叉搜索树的删除有些复杂,我们一点点完成。

删除节点要从查找要删的节点开始,找到节点后,需要考虑三种

情况:

该节点是叶节点(没有字节点,比较简单)

该节点有一个子节点(也相对简单)

该节点有两个子节点.(情况比较复杂,我们后面慢慢道来)

我们先从查找要删除的节点入手

1> 先找到要删除的节点,如果没有找到,不需要删除

2> 找到要删除节点

  1. 删除叶子节点

  2. 删除只有一个子节点的节点

  3. 删除有两个子节点的节点

删除操作_前期分析

情况一:没有子节点

情况一:没有子节点.

这种情况相对比较简单,我们需要检测 current 的 left 以及 right 是否都为 null.

都为 null 之后还要检测一个东西,就是是否 current 就是根,都为 null,并且为跟根,那么相当于要清空二叉树(当然,只是清空了根,因为只有它).

否则就把父节点的 left 或者 right 字段设置为 null 即可.

如果只有一个单独的根,直接删除即可

如果是叶节点,那么处理方式如下:

删除-搜索节点.ts

typescript
import Node from "../types/Node";

import { btPrint } from "hy-algokit";

class TreeNode<T> extends Node<T> {
  left: TreeNode<T> | null = null;
  right: TreeNode<T> | null = null;
}

class BSTree<T> {
  private root: TreeNode<T> | null = null;

  print() {
    btPrint(this.root);
  }

  /** 插入数据的操作 */
  insert(value: T) {
    // 1.根据传入value创建Node(TreeNode)节点
    const newNode = new TreeNode(value);

    // 2.判断当前是否已经有了根节点
    if (!this.root) {
      // 当前树为空
      this.root = newNode;
    } else {
      // 树中已经有其他值
      this.insertNode(this.root, newNode);
    }
  }

  private insertNode(node: TreeNode<T>, newNode: TreeNode<T>) {
    if (newNode.value < node.value) {
      // 去左边继续查找空白位置
      if (node.left === null) {
        // node节点的左边已经是空白
        node.left = newNode;
      } else {
        this.insertNode(node.left, newNode);
      }
    } else {
      // 去右边继续查找空白位置
      if (node.right === null) {
        node.right = newNode;
      } else {
        this.insertNode(node.right, newNode);
      }
    }
  }

  /** 遍历的操作 */
  // 先序遍历
  preOrderTraverse() {
    this.preOrderTraverseNode(this.root);
  }
  private preOrderTraverseNode(node: TreeNode<T> | null) {
    if (node) {
      console.log(node.value);
      this.preOrderTraverseNode(node.left);
      this.preOrderTraverseNode(node.right);
    }
  }

  // 中序遍历
  inOrderTraverse() {
    this.inOrderTraverseNode(this.root);
  }
  private inOrderTraverseNode(node: TreeNode<T> | null) {
    if (node) {
      this.inOrderTraverseNode(node.left);
      console.log(node.value);
      this.inOrderTraverseNode(node.right);
    }
  }

  // 后序遍历
  postOrderTraverse() {
    this.postOrderTraverseNode(this.root);
  }
  private postOrderTraverseNode(node: TreeNode<T> | null) {
    if (node) {
      this.postOrderTraverseNode(node.left);
      this.postOrderTraverseNode(node.right);
      console.log(node.value);
    }
  }

  // 层序遍历
  levelOrderTraverse() {
    // 1.如果没有根节点, 那么不需要遍历
    if (!this.root) return;

    // 2.创建队列结构
    const queue: TreeNode<T>[] = [];
    // 第一个节点时根节点
    queue.push(this.root);

    // 3.遍历队列中所有的节点(依次出队)
    while (queue.length) {
      // 3.1.访问节点的过程
      const current = queue.shift()!;
      console.log(current.value);

      // 3.2.将左子节点放入到队列
      if (current.left) {
        queue.push(current.left);
      }

      // 3.3.将右子节点放入到队列
      if (current.right) {
        queue.push(current.right);
      }
    }
  }

  /** 获取最值操作: 最大值/最小值 */
  getMaxValue(): T | null {
    let current = this.root;
    while (current && current.right) {
      current = current.right;
    }

    return current?.value ?? null;
  }

  getMinValue(): T | null {
    let current = this.root;
    while (current && current.left) {
      current = current.left;
    }

    return current?.value ?? null;
  }

  /** 搜索特定的值: 20 => boolean */
  search(value: T): boolean {
    let current = this.root;
    while (current) {
      // 找到了节点
      if (current.value === value) return true;

      if (current.value < value) {
        current = current.right;
      } else {
        current = current.left;
      }
    }

    return false;
  }

  /** 实现删除操作 */
  remove(value: T): boolean {
    // 1.搜索: 当前是否有这个value
    let current = this.root;
    let parent: TreeNode<T> | null = null;
    while (current) {
      if (current.value === value) break;

      parent = current;
      if (current.value < value) {
        current = current.right;
      } else {
        current = current.left;
      }
    }

    console.log(current?.value, parent?.value);

    return true;
  }
}

const bst = new BSTree<number>();
bst.insert(11);
bst.insert(7);
bst.insert(15);
bst.insert(5);
bst.insert(3);
bst.insert(9);
bst.insert(8);
bst.insert(10);
bst.insert(13);
bst.insert(12);
bst.insert(14);
bst.insert(20);
bst.insert(18);
bst.insert(25);
bst.insert(6);

bst.print();

// bst.preOrderTraverse()
// bst.inOrderTraverse()
// bst.postOrderTraverse()
// bst.levelOrderTraverse()

// console.log(bst.getMaxValue())
// console.log(bst.getMinValue())

// console.log(bst.search(20))
// console.log(bst.search(18))
// console.log(bst.search(6))
// console.log(bst.search(30))

// bst.remove(15)
bst.remove(9);

export {};

我们会发现 search 方法和 remove 方法有重复代码,我们需要对代码进行重构。

删除-搜索重构.ts

typescript
import Node from "../types/Node";

import { btPrint } from "hy-algokit";

class TreeNode<T> extends Node<T> {
  left: TreeNode<T> | null = null;
  right: TreeNode<T> | null = null;

  // 当前节点的父节点
  parent: TreeNode<T> | null = null;

  // 判断当前节点是父节点的左子节点
  get isLeft(): boolean {
    return !!(this.parent && this.parent.left === this);
  }

  // 判断当前节点是父节点的右子节点
  get isRight(): boolean {
    return !!(this.parent && this.parent.right === this);
  }
}

class BSTree<T> {
  private root: TreeNode<T> | null = null;

  print() {
    btPrint(this.root);
  }

  private searchNode(value: T): TreeNode<T> | null {
    let current = this.root;
    let parent: TreeNode<T> | null = null;
    while (current) {
      // 1.如果找到current, 直接返回即可
      if (current.value === value) {
        return current;
      }

      // 2.继续向下找
      parent = current;
      if (current.value < value) {
        current = current.right;
      } else {
        current = current.left;
      }

      // 如果current有值, 那么current保存自己的父节点
      if (current) current.parent = parent;
    }

    return null;
  }

  /** 插入数据的操作 */
  insert(value: T) {
    // 1.根据传入value创建Node(TreeNode)节点
    const newNode = new TreeNode(value);

    // 2.判断当前是否已经有了根节点
    if (!this.root) {
      // 当前树为空
      this.root = newNode;
    } else {
      // 树中已经有其他值
      this.insertNode(this.root, newNode);
    }
  }

  private insertNode(node: TreeNode<T>, newNode: TreeNode<T>) {
    if (newNode.value < node.value) {
      // 去左边继续查找空白位置
      if (node.left === null) {
        // node节点的左边已经是空白
        node.left = newNode;
      } else {
        this.insertNode(node.left, newNode);
      }
    } else {
      // 去右边继续查找空白位置
      if (node.right === null) {
        node.right = newNode;
      } else {
        this.insertNode(node.right, newNode);
      }
    }
  }

  /** 遍历的操作 */
  // 先序遍历
  preOrderTraverse() {
    this.preOrderTraverseNode(this.root);
  }
  private preOrderTraverseNode(node: TreeNode<T> | null) {
    if (node) {
      console.log(node.value);
      this.preOrderTraverseNode(node.left);
      this.preOrderTraverseNode(node.right);
    }
  }

  // 中序遍历
  inOrderTraverse() {
    this.inOrderTraverseNode(this.root);
  }
  private inOrderTraverseNode(node: TreeNode<T> | null) {
    if (node) {
      this.inOrderTraverseNode(node.left);
      console.log(node.value);
      this.inOrderTraverseNode(node.right);
    }
  }

  // 后序遍历
  postOrderTraverse() {
    this.postOrderTraverseNode(this.root);
  }
  private postOrderTraverseNode(node: TreeNode<T> | null) {
    if (node) {
      this.postOrderTraverseNode(node.left);
      this.postOrderTraverseNode(node.right);
      console.log(node.value);
    }
  }

  // 层序遍历
  levelOrderTraverse() {
    // 1.如果没有根节点, 那么不需要遍历
    if (!this.root) return;

    // 2.创建队列结构
    const queue: TreeNode<T>[] = [];
    // 第一个节点时根节点
    queue.push(this.root);

    // 3.遍历队列中所有的节点(依次出队)
    while (queue.length) {
      // 3.1.访问节点的过程
      const current = queue.shift()!;
      console.log(current.value);

      // 3.2.将左子节点放入到队列
      if (current.left) {
        queue.push(current.left);
      }

      // 3.3.将右子节点放入到队列
      if (current.right) {
        queue.push(current.right);
      }
    }
  }

  /** 获取最值操作: 最大值/最小值 */
  getMaxValue(): T | null {
    let current = this.root;
    while (current && current.right) {
      current = current.right;
    }

    return current?.value ?? null;
  }

  getMinValue(): T | null {
    let current = this.root;
    while (current && current.left) {
      current = current.left;
    }

    return current?.value ?? null;
  }

  /** 搜索特定的值: 20 => boolean */
  search(value: T): boolean {
    return !!this.searchNode(value);
  }

  /** 实现删除操作 */
  remove(value: T): boolean {
    // 1.搜索: 当前是否有这个value
    const current = this.searchNode(value);
    if (!current) return false;

    // 2.获取到三个东西: 当前节点/父节点/是属于父节点的左子节点, 还是右子节点
    console.log("当前节点:", current.value, "父节点:", current.parent?.value);

    return true;
  }
}

const bst = new BSTree<number>();
bst.insert(11);
bst.insert(7);
bst.insert(15);
bst.insert(5);
bst.insert(3);
bst.insert(9);
bst.insert(8);
bst.insert(10);
bst.insert(13);
bst.insert(12);
bst.insert(14);
bst.insert(20);
bst.insert(18);
bst.insert(25);
bst.insert(6);

bst.print();

// bst.preOrderTraverse()
// bst.inOrderTraverse()
// bst.postOrderTraverse()
// bst.levelOrderTraverse()

// console.log(bst.getMaxValue())
// console.log(bst.getMinValue())

// console.log(bst.search(20))
// console.log(bst.search(18))
// console.log(bst.search(6))
// console.log(bst.search(30))

bst.remove(11);
// bst.remove(15)
// bst.remove(9)
// bst.remove(3)
// bst.remove(12)

// console.log(null)

export {};

删除-叶子节点

typescript
import Node from "../types/Node";

import { btPrint } from "hy-algokit";

class TreeNode<T> extends Node<T> {
  left: TreeNode<T> | null = null;
  right: TreeNode<T> | null = null;

  // 当前节点的父节点
  parent: TreeNode<T> | null = null;

  // 判断当前节点是父节点的左子节点
  get isLeft(): boolean {
    return !!(this.parent && this.parent.left === this);
  }

  // 判断当前节点是父节点的右子节点
  get isRight(): boolean {
    return !!(this.parent && this.parent.right === this);
  }
}

class BSTree<T> {
  private root: TreeNode<T> | null = null;

  print() {
    btPrint(this.root);
  }

  private searchNode(value: T): TreeNode<T> | null {
    let current = this.root;
    let parent: TreeNode<T> | null = null;
    while (current) {
      // 1.如果找到current, 直接返回即可
      if (current.value === value) {
        return current;
      }

      // 2.继续向下找
      parent = current;
      if (current.value < value) {
        current = current.right;
      } else {
        current = current.left;
      }

      // 如果current有值, 那么current保存自己的父节点
      if (current) current.parent = parent;
    }

    return null;
  }

  /** 插入数据的操作 */
  insert(value: T) {
    // 1.根据传入value创建Node(TreeNode)节点
    const newNode = new TreeNode(value);

    // 2.判断当前是否已经有了根节点
    if (!this.root) {
      // 当前树为空
      this.root = newNode;
    } else {
      // 树中已经有其他值
      this.insertNode(this.root, newNode);
    }
  }

  private insertNode(node: TreeNode<T>, newNode: TreeNode<T>) {
    if (newNode.value < node.value) {
      // 去左边继续查找空白位置
      if (node.left === null) {
        // node节点的左边已经是空白
        node.left = newNode;
      } else {
        this.insertNode(node.left, newNode);
      }
    } else {
      // 去右边继续查找空白位置
      if (node.right === null) {
        node.right = newNode;
      } else {
        this.insertNode(node.right, newNode);
      }
    }
  }

  /** 遍历的操作 */
  // 先序遍历
  preOrderTraverse() {
    this.preOrderTraverseNode(this.root);
  }
  private preOrderTraverseNode(node: TreeNode<T> | null) {
    if (node) {
      console.log(node.value);
      this.preOrderTraverseNode(node.left);
      this.preOrderTraverseNode(node.right);
    }
  }

  // 中序遍历
  inOrderTraverse() {
    this.inOrderTraverseNode(this.root);
  }
  private inOrderTraverseNode(node: TreeNode<T> | null) {
    if (node) {
      this.inOrderTraverseNode(node.left);
      console.log(node.value);
      this.inOrderTraverseNode(node.right);
    }
  }

  // 后序遍历
  postOrderTraverse() {
    this.postOrderTraverseNode(this.root);
  }
  private postOrderTraverseNode(node: TreeNode<T> | null) {
    if (node) {
      this.postOrderTraverseNode(node.left);
      this.postOrderTraverseNode(node.right);
      console.log(node.value);
    }
  }

  // 层序遍历
  levelOrderTraverse() {
    // 1.如果没有根节点, 那么不需要遍历
    if (!this.root) return;

    // 2.创建队列结构
    const queue: TreeNode<T>[] = [];
    // 第一个节点时根节点
    queue.push(this.root);

    // 3.遍历队列中所有的节点(依次出队)
    while (queue.length) {
      // 3.1.访问节点的过程
      const current = queue.shift()!;
      console.log(current.value);

      // 3.2.将左子节点放入到队列
      if (current.left) {
        queue.push(current.left);
      }

      // 3.3.将右子节点放入到队列
      if (current.right) {
        queue.push(current.right);
      }
    }
  }

  /** 获取最值操作: 最大值/最小值 */
  getMaxValue(): T | null {
    let current = this.root;
    while (current && current.right) {
      current = current.right;
    }

    return current?.value ?? null;
  }

  getMinValue(): T | null {
    let current = this.root;
    while (current && current.left) {
      current = current.left;
    }

    return current?.value ?? null;
  }

  /** 搜索特定的值: 20 => boolean */
  search(value: T): boolean {
    return !!this.searchNode(value);
  }

  /** 实现删除操作 */
  remove(value: T): boolean {
    // 1.搜索: 当前是否有这个value
    const current = this.searchNode(value);
    if (!current) return false;

    // 2.获取到三个东西: 当前节点/父节点/是属于父节点的左子节点, 还是右子节点
    // 2.如果删除的是叶子节点
    if (current.left === null && current.right === null) {
      if (current === this.root) {
        // 根节点
        this.root = null;
      } else if (current.isLeft) {
        // 父节点的左子节点
        current.parent!.left = null;
      } else {
        current.parent!.right = null;
      }
    }

    return true;
  }
}

const bst = new BSTree<number>();
bst.insert(11);
bst.insert(7);
bst.insert(15);
bst.insert(5);
bst.insert(3);
bst.insert(9);
bst.insert(8);
bst.insert(10);
bst.insert(13);
bst.insert(12);
bst.insert(14);
bst.insert(20);
bst.insert(18);
bst.insert(25);
bst.insert(6);

bst.print();

// bst.preOrderTraverse()
// bst.inOrderTraverse()
// bst.postOrderTraverse()
// bst.levelOrderTraverse()

// console.log(bst.getMaxValue())
// console.log(bst.getMinValue())

// console.log(bst.search(20))
// console.log(bst.search(18))
// console.log(bst.search(6))
// console.log(bst.search(30))

// 删除功能:
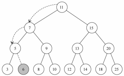
// 删除叶子节点
bst.remove(3);
bst.remove(8);
bst.remove(12);
bst.print();

bst.remove(6);
bst.remove(10);
bst.remove(25);
bst.print();

export {};

情况二:一个子节点

情况二:有一个子节点

这种情况也不是很难.

要删除的 current 节点,只有 2 个连接(如果有两个子节点,就是三个连接了),一个连接父节点,一个连接唯一的子节点.

需要从这三者之间:爷爷 - 自己 - 儿子,将自己(current)剪短,让爷爷直接连接儿子即可.

这个过程要求改变父节点的 left 或者 right,指向要删除节点的子节点.

当然,在这个过程中还要考虑是否 current 就是根.

图解过程:

如果是根的情况,大家可以自己画一下,比较简单,这里不再给出.

如果不是根,并且只有一个子节点的情况.

typescript
import Node from "../types/Node";

import { btPrint } from "hy-algokit";

class TreeNode<T> extends Node<T> {
  left: TreeNode<T> | null = null;
  right: TreeNode<T> | null = null;

  // 当前节点的父节点
  parent: TreeNode<T> | null = null;

  // 判断当前节点是父节点的左子节点
  get isLeft(): boolean {
    return !!(this.parent && this.parent.left === this);
  }

  // 判断当前节点是父节点的右子节点
  get isRight(): boolean {
    return !!(this.parent && this.parent.right === this);
  }
}

class BSTree<T> {
  private root: TreeNode<T> | null = null;

  print() {
    btPrint(this.root);
  }

  private searchNode(value: T): TreeNode<T> | null {
    let current = this.root;
    let parent: TreeNode<T> | null = null;
    while (current) {
      // 1.如果找到current, 直接返回即可
      if (current.value === value) {
        return current;
      }

      // 2.继续向下找
      parent = current;
      if (current.value < value) {
        current = current.right;
      } else {
        current = current.left;
      }

      // 如果current有值, 那么current保存自己的父节点
      if (current) current.parent = parent;
    }

    return null;
  }

  /** 插入数据的操作 */
  insert(value: T) {
    // 1.根据传入value创建Node(TreeNode)节点
    const newNode = new TreeNode(value);

    // 2.判断当前是否已经有了根节点
    if (!this.root) {
      // 当前树为空
      this.root = newNode;
    } else {
      // 树中已经有其他值
      this.insertNode(this.root, newNode);
    }
  }

  private insertNode(node: TreeNode<T>, newNode: TreeNode<T>) {
    if (newNode.value < node.value) {
      // 去左边继续查找空白位置
      if (node.left === null) {
        // node节点的左边已经是空白
        node.left = newNode;
      } else {
        this.insertNode(node.left, newNode);
      }
    } else {
      // 去右边继续查找空白位置
      if (node.right === null) {
        node.right = newNode;
      } else {
        this.insertNode(node.right, newNode);
      }
    }
  }

  /** 遍历的操作 */
  // 先序遍历
  preOrderTraverse() {
    this.preOrderTraverseNode(this.root);
  }
  private preOrderTraverseNode(node: TreeNode<T> | null) {
    if (node) {
      console.log(node.value);
      this.preOrderTraverseNode(node.left);
      this.preOrderTraverseNode(node.right);
    }
  }

  // 中序遍历
  inOrderTraverse() {
    this.inOrderTraverseNode(this.root);
  }
  private inOrderTraverseNode(node: TreeNode<T> | null) {
    if (node) {
      this.inOrderTraverseNode(node.left);
      console.log(node.value);
      this.inOrderTraverseNode(node.right);
    }
  }

  // 后序遍历
  postOrderTraverse() {
    this.postOrderTraverseNode(this.root);
  }
  private postOrderTraverseNode(node: TreeNode<T> | null) {
    if (node) {
      this.postOrderTraverseNode(node.left);
      this.postOrderTraverseNode(node.right);
      console.log(node.value);
    }
  }

  // 层序遍历
  levelOrderTraverse() {
    // 1.如果没有根节点, 那么不需要遍历
    if (!this.root) return;

    // 2.创建队列结构
    const queue: TreeNode<T>[] = [];
    // 第一个节点时根节点
    queue.push(this.root);

    // 3.遍历队列中所有的节点(依次出队)
    while (queue.length) {
      // 3.1.访问节点的过程
      const current = queue.shift()!;
      console.log(current.value);

      // 3.2.将左子节点放入到队列
      if (current.left) {
        queue.push(current.left);
      }

      // 3.3.将右子节点放入到队列
      if (current.right) {
        queue.push(current.right);
      }
    }
  }

  /** 获取最值操作: 最大值/最小值 */
  getMaxValue(): T | null {
    let current = this.root;
    while (current && current.right) {
      current = current.right;
    }

    return current?.value ?? null;
  }

  getMinValue(): T | null {
    let current = this.root;
    while (current && current.left) {
      current = current.left;
    }

    return current?.value ?? null;
  }

  /** 搜索特定的值: 20 => boolean */
  search(value: T): boolean {
    return !!this.searchNode(value);
  }

  /** 实现删除操作 */
  remove(value: T): boolean {
    // 1.搜索: 当前是否有这个value
    const current = this.searchNode(value);
    if (!current) return false;

    // 2.获取到三个东西: 当前节点/父节点/是属于父节点的左子节点, 还是右子节点
    // 2.如果删除的是叶子节点
    if (current.left === null && current.right === null) {
      if (current === this.root) {
        // 根节点
        this.root = null;
      } else if (current.isLeft) {
        // 父节点的左子节点
        current.parent!.left = null;
      } else {
        current.parent!.right = null;
      }
    }

    // 3.只有一个子节点: 只有左子节点
    else if (current.right === null) {
      if (current === this.root) {
        this.root = current.left;
      } else if (current.isLeft) {
        current.parent!.left = current.left;
      } else {
        current.parent!.right = current.left;
      }
    }

    // 4.只有一个子节点: 只有右子节点
    else if (current.left === null) {
      if (current === this.root) {
        this.root = current.right;
      } else if (current.isLeft) {
        current.parent!.left = current.right;
      } else {
        current.parent!.right = current.right;
      }
    }

    return true;
  }
}

const bst = new BSTree<number>();
bst.insert(11);
bst.insert(7);
bst.insert(15);
bst.insert(5);
bst.insert(3);
bst.insert(9);
bst.insert(8);
bst.insert(10);
bst.insert(13);
bst.insert(12);
bst.insert(14);
bst.insert(20);
bst.insert(18);
bst.insert(25);
bst.insert(6);

bst.print();

// bst.preOrderTraverse()
// bst.inOrderTraverse()
// bst.postOrderTraverse()
// bst.levelOrderTraverse()

// console.log(bst.getMaxValue())
// console.log(bst.getMinValue())

// console.log(bst.search(20))
// console.log(bst.search(18))
// console.log(bst.search(6))
// console.log(bst.search(30))

// 删除功能:
// 删除叶子节点
bst.remove(3);
bst.remove(8);
bst.remove(12);
bst.print();

bst.remove(6);
bst.remove(10);
bst.remove(25);
bst.print();

bst.remove(20);
bst.print();

bst.remove(13);
bst.print();

export {};

情况三:两个子节点

删除操作_两个子节点的前驱和后继

寻找规律

如果我们要删除的节点有两个子节点,甚至子节点还有子节点,这种情况下我们需要从下面的子节点中找到一个节点,来替换当前的节点.

但是找到的这个节点有什么特征呢? 应该是 current 节点下面所有节点中最接近 current 节点的.

要么比 current 节点小一点点,要么比 current 节点大一点点。

总结你最接近 current,你就可以用来替换 current 的位置.

这个节点怎么找呢?

比 current 小一点点的节点,一定是 current 左子树的最大值。

比 current 大一点点的节点,一定是 current 右子树的最小值。

前驱&后继

在二叉搜索树中,这两个特别的节点,有两个特别的名字。

比 current 小一点点的节点,称为 current 节点的前驱。

比 current 大一点点的节点,称为 current 节点的后继。

也就是为了能够删除有两个子节点的 current,要么找到它的前驱,要么找到它的后继。

所以,接下来,我们先找到这样的节点(前驱或者后继都可以,我这里以找后继为例)

typescript
import Node from "../types/Node";

import { btPrint } from "hy-algokit";

class TreeNode<T> extends Node<T> {
  left: TreeNode<T> | null = null;
  right: TreeNode<T> | null = null;

  // 当前节点的父节点
  parent: TreeNode<T> | null = null;

  // 判断当前节点是父节点的左子节点
  get isLeft(): boolean {
    return !!(this.parent && this.parent.left === this);
  }

  // 判断当前节点是父节点的右子节点
  get isRight(): boolean {
    return !!(this.parent && this.parent.right === this);
  }
}

class BSTree<T> {
  private root: TreeNode<T> | null = null;

  print() {
    btPrint(this.root);
  }

  private searchNode(value: T): TreeNode<T> | null {
    let current = this.root;
    let parent: TreeNode<T> | null = null;
    while (current) {
      // 1.如果找到current, 直接返回即可
      if (current.value === value) {
        return current;
      }

      // 2.继续向下找
      parent = current;
      if (current.value < value) {
        current = current.right;
      } else {
        current = current.left;
      }

      // 如果current有值, 那么current保存自己的父节点
      if (current) current.parent = parent;
    }

    return null;
  }

  /** 插入数据的操作 */
  insert(value: T) {
    // 1.根据传入value创建Node(TreeNode)节点
    const newNode = new TreeNode(value);

    // 2.判断当前是否已经有了根节点
    if (!this.root) {
      // 当前树为空
      this.root = newNode;
    } else {
      // 树中已经有其他值
      this.insertNode(this.root, newNode);
    }
  }

  private insertNode(node: TreeNode<T>, newNode: TreeNode<T>) {
    if (newNode.value < node.value) {
      // 去左边继续查找空白位置
      if (node.left === null) {
        // node节点的左边已经是空白
        node.left = newNode;
      } else {
        this.insertNode(node.left, newNode);
      }
    } else {
      // 去右边继续查找空白位置
      if (node.right === null) {
        node.right = newNode;
      } else {
        this.insertNode(node.right, newNode);
      }
    }
  }

  /** 遍历的操作 */
  // 先序遍历
  preOrderTraverse() {
    this.preOrderTraverseNode(this.root);
  }
  private preOrderTraverseNode(node: TreeNode<T> | null) {
    if (node) {
      console.log(node.value);
      this.preOrderTraverseNode(node.left);
      this.preOrderTraverseNode(node.right);
    }
  }

  // 中序遍历
  inOrderTraverse() {
    this.inOrderTraverseNode(this.root);
  }
  private inOrderTraverseNode(node: TreeNode<T> | null) {
    if (node) {
      this.inOrderTraverseNode(node.left);
      console.log(node.value);
      this.inOrderTraverseNode(node.right);
    }
  }

  // 后序遍历
  postOrderTraverse() {
    this.postOrderTraverseNode(this.root);
  }
  private postOrderTraverseNode(node: TreeNode<T> | null) {
    if (node) {
      this.postOrderTraverseNode(node.left);
      this.postOrderTraverseNode(node.right);
      console.log(node.value);
    }
  }

  // 层序遍历
  levelOrderTraverse() {
    // 1.如果没有根节点, 那么不需要遍历
    if (!this.root) return;

    // 2.创建队列结构
    const queue: TreeNode<T>[] = [];
    // 第一个节点时根节点
    queue.push(this.root);

    // 3.遍历队列中所有的节点(依次出队)
    while (queue.length) {
      // 3.1.访问节点的过程
      const current = queue.shift()!;
      console.log(current.value);

      // 3.2.将左子节点放入到队列
      if (current.left) {
        queue.push(current.left);
      }

      // 3.3.将右子节点放入到队列
      if (current.right) {
        queue.push(current.right);
      }
    }
  }

  /** 获取最值操作: 最大值/最小值 */
  getMaxValue(): T | null {
    let current = this.root;
    while (current && current.right) {
      current = current.right;
    }

    return current?.value ?? null;
  }

  getMinValue(): T | null {
    let current = this.root;
    while (current && current.left) {
      current = current.left;
    }

    return current?.value ?? null;
  }

  /** 搜索特定的值: 20 => boolean */
  search(value: T): boolean {
    return !!this.searchNode(value);
  }

  /** 实现删除操作 */
  private getSuccessor(delNode: TreeNode<T>): TreeNode<T> {
    // 获取右子树
    let current = delNode.right;
    let successor: TreeNode<T> | null = null;
    while (current) {
      successor = current;
      current = current.left;
      if (current) {
        current.parent = successor;
      }
    }

    // 拿到了后继节点
    if (successor !== delNode.right) {
      successor!.parent!.left = successor!.right;
      successor!.right = delNode.right;
    }

    // 一定要进行的操作: 将删除节点的left, 赋值给后继节点的left
    successor!.left = delNode.left;

    return successor!;
  }

  remove(value: T): boolean {
    // 1.搜索: 当前是否有这个value
    const current = this.searchNode(value);
    if (!current) return false;

    // 2.获取到三个东西: 当前节点/父节点/是属于父节点的左子节点, 还是右子节点
    // 2.如果删除的是叶子节点
    if (current.left === null && current.right === null) {
      if (current === this.root) {
        // 根节点
        this.root = null;
      } else if (current.isLeft) {
        // 父节点的左子节点
        current.parent!.left = null;
      } else {
        current.parent!.right = null;
      }
    }

    // 3.只有一个子节点: 只有左子节点
    else if (current.right === null) {
      if (current === this.root) {
        this.root = current.left;
      } else if (current.isLeft) {
        current.parent!.left = current.left;
      } else {
        current.parent!.right = current.left;
      }
    }

    // 4.只有一个子节点: 只有右子节点
    else if (current.left === null) {
      if (current === this.root) {
        this.root = current.right;
      } else if (current.isLeft) {
        current.parent!.left = current.right;
      } else {
        current.parent!.right = current.right;
      }
    }

    // 5.有两个子节点
    else {
      const successor = this.getSuccessor(current);
      if (current === this.root) {
        this.root = successor;
      } else if (current.isLeft) {
        current.parent!.left = successor;
      } else {
        current.parent!.right = successor;
      }
    }

    return true;
  }
}

const bst = new BSTree<number>();
bst.insert(11);
bst.insert(7);
bst.insert(15);
bst.insert(5);
bst.insert(3);
bst.insert(9);
bst.insert(8);
bst.insert(10);
bst.insert(13);
bst.insert(12);
bst.insert(14);
bst.insert(20);
bst.insert(18);
bst.insert(25);
bst.insert(6);

bst.print();

// bst.preOrderTraverse()
// bst.inOrderTraverse()
// bst.postOrderTraverse()
// bst.levelOrderTraverse()

// console.log(bst.getMaxValue())
// console.log(bst.getMinValue())

// console.log(bst.search(20))
// console.log(bst.search(18))
// console.log(bst.search(6))
// console.log(bst.search(30))

// 删除功能: 删除有两个子节点的情况
bst.remove(11);
bst.print();
bst.remove(15);
bst.print();
bst.remove(9);
bst.print();
bst.remove(7);
bst.print();

export {};

代码重构

typescript
import Node from "../types/Node";

import { btPrint } from "hy-algokit";

class TreeNode<T> extends Node<T> {
  left: TreeNode<T> | null = null;
  right: TreeNode<T> | null = null;

  // 当前节点的父节点
  parent: TreeNode<T> | null = null;

  // 判断当前节点是父节点的左子节点
  get isLeft(): boolean {
    return !!(this.parent && this.parent.left === this);
  }

  // 判断当前节点是父节点的右子节点
  get isRight(): boolean {
    return !!(this.parent && this.parent.right === this);
  }
}

class BSTree<T> {
  private root: TreeNode<T> | null = null;

  print() {
    btPrint(this.root);
  }

  private searchNode(value: T): TreeNode<T> | null {
    let current = this.root;
    let parent: TreeNode<T> | null = null;
    while (current) {
      // 1.如果找到current, 直接返回即可
      if (current.value === value) {
        return current;
      }

      // 2.继续向下找
      parent = current;
      if (current.value < value) {
        current = current.right;
      } else {
        current = current.left;
      }

      // 如果current有值, 那么current保存自己的父节点
      if (current) current.parent = parent;
    }

    return null;
  }

  /** 插入数据的操作 */
  insert(value: T) {
    // 1.根据传入value创建Node(TreeNode)节点
    const newNode = new TreeNode(value);

    // 2.判断当前是否已经有了根节点
    if (!this.root) {
      // 当前树为空
      this.root = newNode;
    } else {
      // 树中已经有其他值
      this.insertNode(this.root, newNode);
    }
  }

  private insertNode(node: TreeNode<T>, newNode: TreeNode<T>) {
    if (newNode.value < node.value) {
      // 去左边继续查找空白位置
      if (node.left === null) {
        // node节点的左边已经是空白
        node.left = newNode;
      } else {
        this.insertNode(node.left, newNode);
      }
    } else {
      // 去右边继续查找空白位置
      if (node.right === null) {
        node.right = newNode;
      } else {
        this.insertNode(node.right, newNode);
      }
    }
  }

  /** 遍历的操作 */
  // 先序遍历
  preOrderTraverse() {
    this.preOrderTraverseNode(this.root);
  }
  private preOrderTraverseNode(node: TreeNode<T> | null) {
    if (node) {
      console.log(node.value);
      this.preOrderTraverseNode(node.left);
      this.preOrderTraverseNode(node.right);
    }
  }

  // 中序遍历
  inOrderTraverse() {
    this.inOrderTraverseNode(this.root);
  }
  private inOrderTraverseNode(node: TreeNode<T> | null) {
    if (node) {
      this.inOrderTraverseNode(node.left);
      console.log(node.value);
      this.inOrderTraverseNode(node.right);
    }
  }

  // 后序遍历
  postOrderTraverse() {
    this.postOrderTraverseNode(this.root);
  }
  private postOrderTraverseNode(node: TreeNode<T> | null) {
    if (node) {
      this.postOrderTraverseNode(node.left);
      this.postOrderTraverseNode(node.right);
      console.log(node.value);
    }
  }

  // 层序遍历
  levelOrderTraverse() {
    // 1.如果没有根节点, 那么不需要遍历
    if (!this.root) return;

    // 2.创建队列结构
    const queue: TreeNode<T>[] = [];
    // 第一个节点时根节点
    queue.push(this.root);

    // 3.遍历队列中所有的节点(依次出队)
    while (queue.length) {
      // 3.1.访问节点的过程
      const current = queue.shift()!;
      console.log(current.value);

      // 3.2.将左子节点放入到队列
      if (current.left) {
        queue.push(current.left);
      }

      // 3.3.将右子节点放入到队列
      if (current.right) {
        queue.push(current.right);
      }
    }
  }

  /** 获取最值操作: 最大值/最小值 */
  getMaxValue(): T | null {
    let current = this.root;
    while (current && current.right) {
      current = current.right;
    }

    return current?.value ?? null;
  }

  getMinValue(): T | null {
    let current = this.root;
    while (current && current.left) {
      current = current.left;
    }

    return current?.value ?? null;
  }

  /** 搜索特定的值: 20 => boolean */
  search(value: T): boolean {
    return !!this.searchNode(value);
  }

  /** 实现删除操作 */
  private getSuccessor(delNode: TreeNode<T>): TreeNode<T> {
    // 获取右子树
    let current = delNode.right;
    let successor: TreeNode<T> | null = null;
    while (current) {
      successor = current;
      current = current.left;
      if (current) {
        current.parent = successor;
      }
    }

    // 拿到了后继节点
    if (successor !== delNode.right) {
      successor!.parent!.left = successor!.right;
      successor!.right = delNode.right;
    }

    // 一定要进行的操作: 将删除节点的left, 赋值给后继节点的left
    successor!.left = delNode.left;

    return successor!;
  }

  remove(value: T): boolean {
    // 1.搜索: 当前是否有这个value
    const current = this.searchNode(value);
    if (!current) return false;

    // 2.获取到三个东西: 当前节点/父节点/是属于父节点的左子节点, 还是右子节点
    let replaceNode: TreeNode<T> | null = null;
    if (current.left === null && current.right === null) {
      replaceNode = null;
    } else if (current.right === null) {
      replaceNode = current.left;
    } else if (current.left === null) {
      replaceNode = current.right;
    } else {
      const successor = this.getSuccessor(current);
      replaceNode = successor;
    }

    if (current === this.root) {
      this.root = replaceNode;
    } else if (current.isLeft) {
      current.parent!.left = replaceNode;
    } else {
      current.parent!.right = replaceNode;
    }

    return true;
  }
}

const bst = new BSTree<number>();
bst.insert(11);
bst.insert(7);
bst.insert(15);
bst.insert(5);
bst.insert(3);
bst.insert(9);
bst.insert(8);
bst.insert(10);
bst.insert(13);
bst.insert(12);
bst.insert(14);
bst.insert(20);
bst.insert(18);
bst.insert(25);
bst.insert(6);

bst.print();

// bst.preOrderTraverse()
// bst.inOrderTraverse()
// bst.postOrderTraverse()
// bst.levelOrderTraverse()

// console.log(bst.getMaxValue())
// console.log(bst.getMinValue())

// console.log(bst.search(20))
// console.log(bst.search(18))
// console.log(bst.search(6))
// console.log(bst.search(30))

// 删除功能: 删除有两个子节点的情况
bst.remove(11);
bst.print();
bst.remove(15);
bst.print();
bst.remove(9);
bst.print();
bst.remove(7);
bst.print();

export {};

删除操作总结

看到这里,你就会发现删除节点相当棘手。

实际上,因为它非常复杂,一些程序员都尝试着避开删除操作。

他们的做法是在 Node 类中添加一个 boolean 的字段,比如名称为 isDeleted。

要删除一个节点时,就将此字段设置为 true。

其他操作,比如 find()在查找之前先判断这个节点是不是标记为删除。

这样相对比较简单,每次删除节点不会改变原有的树结构。

但是在二叉树的存储中,还保留着那些本该已经被删除掉的节点。

上面的做法看起来很聪明,其实是一种逃避。

这样会造成很大空间的浪费,特别是针对数据量较大的情况。

而且,作为程序员要学会通过这些复杂的操作,锻炼自己的逻辑。

二叉搜索树的缺陷

二叉搜索树作为数据存储的结构由重要的优势:

可以快速地找到给定关键字的数据项 并且可以快速地插入和删除数据项。

但是,二叉搜索树有一个很麻烦的问题:

如果插入的数据时有序的数据,比如下面的情况

有一棵初始化为 9 8 12 的二叉树

插入下面的数据:7 6 5 4 3

非平衡树:

比较好的二叉搜索树数据应该是左右分布均匀的

但是插入连续数据后,分布的不均匀,我称这种树为非平衡树。

对于一棵平衡二叉树来说,插入/查找等操作的效率是 O(logN)

对于一棵非平衡二叉树,相当于编写了一个链表,查找效率变成了 O(N)

树的平衡性

为了能以较快的时间 O(logN)来操作一棵树,我们需要保证树总是平衡的:

至少大部分是平衡的,那么时间复杂度也是接近 O(logN)的

也就是说树中每个节点左边的子孙节点的个数,应该尽可能的等于右边的子孙节点的个数。

常见的平衡树有哪些呢?

AVL 树:

AVL 树是最早的一种平衡树。它有些办法保持树的平衡(每个节点多存储了一个额外的数据)

因为 AVL 树是平衡的,所以时间复杂度也是 O(logN)。

但是,每次插入/删除操作相对于红黑树效率都不高,所以整体效率不如红黑树

红黑树:

红黑树也通过一些特性来保持树的平衡。

因为是平衡树,所以时间复杂度也是在 O(logN)。

另外插入/删除等操作,红黑树的性能要优于 AVL 树,所以现在平衡树的应用基本都是红黑树。